=a-|x|=8.则( ) A.f B.f C.f D.f (文)下列函数中.在其定义域内既是奇函数又是减函数的是( ) A.y=-|x| B.y=()x C.y=-x3-x D.y= 查看更多

 

题目列表(包括答案和解析)

已知函数f(x)=b•ax(a>0且a≠1),且f(k)=8f(k-3)(k≥4,k∈N*).
(1)若b=8,求f(1)+f(2)+…+f(n)(n∈N*);
(2)若f(1)、16、128依次是某等差数列的第1项,第k-3项,第k项,试问:是否存在正整数n,使得f(n)=2(n2-100)成立,若存在,请求出所有的n及b的值,若不存在,请说明理由.

查看答案和解析>>

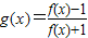
已知函数f(x)=k•a-x(k,a为常数,a>0且a≠1)的图象过点A(0,1),B(3,8).
(1)求实数k,a的值;
(2)若函数g(x)=
f(x)-1f(x)+1
,试判断函数g(x)的奇偶性,并说明理由.

查看答案和解析>>

已知函数f(x)=k•a-x(k,a为常数,a>0且a≠1)的图象过点A(0,1),B(3,8).
(1)求实数k,a的值;
(2)若函数,试判断函数g(x)的奇偶性,并说明理由.

查看答案和解析>>

已知函数f(x)=k•a-x(k,a为常数,a>0且a≠1)的图象过点A(0,1),B(3,8).
(1)求实数k,a的值;
(2)若函数,试判断函数g(x)的奇偶性,并说明理由.

查看答案和解析>>

已知函数f(x)=k•a-x(k,a为常数,a>0且a≠1)的图象过点A(0,1),B(3,8).
(1)求实数k,a的值;
(2)若函数,试判断函数g(x)的奇偶性,并说明理由.

查看答案和解析>>


同步练习册答案