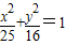
F1.F2分别为椭圆的左.右焦点.AB为其过点F2且斜率为1的弦.则·的值为 ( ) A. B. C. D.5 查看更多

 

题目列表(包括答案和解析)

F1、F2分别为椭圆的左、右焦点,A为短轴一端点,弦AB过左焦点F1,则△ABF2的面积为( )
A.
B.
C.3
D.4

查看答案和解析>>

F1、F2分别为椭圆的左、右焦点,点P为椭圆上在一象限内的点,若△PF1F2的面积为,则点P到左焦点F1的距离为( )
A.
B.
C.
D.

查看答案和解析>>

F1、F2分别为椭圆的左、右焦点,A为短轴一端点,弦AB过左焦点F1,则△ABF2的面积为( )
A.
B.
C.3
D.4

查看答案和解析>>

F1、F2分别为椭圆的左、右焦点,点P为椭圆上在一象限内的点,若△PF1F2的面积为,则点P到左焦点F1的距离为( )
A.
B.
C.
D.

查看答案和解析>>

F1、F2分别为椭圆的左、右焦点,点P在椭圆上,△POF2是面积为的正三角形,则b的值是( )
A.
B.2
C.
D.4

查看答案和解析>>


同步练习册答案