15.已知.D是三角形ABC边AB上一点.且BD=2AD.CD=10..则BC边上的高AE的长为 A. 4.5 B. 6 C. 8 D. 9 第Ⅱ卷 查看更多

 

题目列表(包括答案和解析)

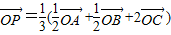
已知A、B、C是平面上不共线的三点,O是三角形ABC的重心,动点P满足
OP
=
1
3
(
1
2
OA
+
1
2
OB
+2
OC
)
,则点P一定为三角形ABC的(  )
A、AB边中线的中点
B、AB边中线的三等分点(非重心)
C、重心
D、AB边的中点

查看答案和解析>>

已知P是三角形ABC内一点,若
OP
=
OA
+λ(
AB
|
AB
|cosB
+
AC
|
AC
|cosC
)
(λ≠0),则点P应在(  )

查看答案和解析>>

已 知 A 、 B 、 C 是 平 面 上 不 共 线 的 三 点 , O 是 三 角形 ABC 的 重 心 , 动 点 P 满 足,则点 P 一定为三角形的 (   )

(A)AB 边中线的中点

(B)AB 边中线的三等分点(非重心)

(C)重心

(D)AB边的中点

 

查看答案和解析>>

已 知 A 、 B 、 C 是 平 面 上 不 共 线 的 三 点 , O 是 三 角形 ABC 的 重 心 , 动 点 P 满 足,则点 P 一定为三角形的 (  )
(A)AB 边中线的中点
(B)AB 边中线的三等分点(非重心)
(C)重心
(D)AB边的中点

查看答案和解析>>

已知A、B、C是平面上不共线的三点,O是三角形ABC的重心,动点P满足则点P一定为三角形ABC的( )
A.AB边中线的中点
B.AB边中线的三等分点(非重心)
C.重心
D.AB边的中点

查看答案和解析>>


同步练习册答案