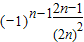
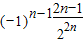
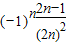
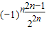
某数列的前四项为.则以下各式 ① ② ③ 其中可作为的通项公式的是() A.① B.①② C.②③ D.①②③ 查看更多

 

题目列表(包括答案和解析)

已知一个数列的前四项为,则它的一个通项公式为

A.         B.       C.    D.

 

查看答案和解析>>

已知一个数列的前四项为,则它的一个通项公式为

A.         B.       C.    D.

 

查看答案和解析>>

已知一个数列的前四项为,则它的一个通项公式为( )
A.
B.
C.
D.

查看答案和解析>>

已知一个数列的前四项为,则它的一个通项公式为( )
A.
B.
C.
D.

查看答案和解析>>

已知一个数列的前四项为,则它的一个通项公式为( )
A.
B.
C.
D.

查看答案和解析>>


同步练习册答案