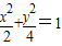
已知椭圆两焦点分别为F1.F2.P是椭圆在第一象限弧上一点.并满足 =1.过P作倾斜角互补的两条直线PA.PB分别交椭圆于A.B两点. (1)求P点坐标, (2)求证直线AB的斜率为定值, (3)求△PAB面积的最大值. 查看更多

 

题目列表(包括答案和解析)

已知椭圆两焦点分别为F1F2P是椭圆在第一象限弧上一点,并满足,过P作倾斜角互补的两条直线PAPB分别交椭圆于AB两点.   

(1)求P点坐标;                               

(2)求证直线AB的斜率为定值;   

(3)求△PAB面积的最大值。

                                                        

查看答案和解析>>

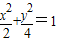
已知椭圆两焦点分别为F1、F2,P是椭圆在第一象限弧上一点,并满足,过P作倾斜角互补的两条直线PA、PB分别交椭圆于A、B两点.
(1)求P点坐标;
(2)求证:直线AB的斜率为定值;
(3)求△PAB面积的最大值.

查看答案和解析>>

已知椭圆两焦点分别为F1、F2,P是椭圆在第一象限弧上一点,并满足,过P作倾斜角互补的两条直线PA、PB分别交椭圆于A、B两点.
(1)求P点坐标;
(2)求证:直线AB的斜率为定值;
(3)求△PAB面积的最大值.

查看答案和解析>>

已知椭圆两焦点分别为F1、F2,P是椭圆在第一象限弧上一点,并满足=1,过P作倾斜角互补的两条直线PA、PB分别交椭圆于A、B两点.
(1)求P点坐标;
(2)求直线AB的斜率;
(3)求△PAB面积的最大值.

查看答案和解析>>

已知椭圆两焦点分别为F1、F2,P是椭圆在第一象限弧上一点,并满足=1,过P作倾斜角互补的两条直线PA、PB分别交椭圆于A、B两点.
(1)求P点坐标;
(2)求直线AB的斜率;
(3)求△PAB面积的最大值.

查看答案和解析>>


同步练习册答案