4. 已知数列满足:,. ⑴ 求., ⑵ 当时.求与的关系式.并求数列中偶数项的通项公式, ⑶ 数列前100项中所有奇数项的和. 查看更多

 

题目列表(包括答案和解析)

已知数列{an}与{bn}满足关系,a1=2a,an+1=
1
2
(an+
a2
an
),bn=
an+a
an-a
(n∈N+,a>0)
(l)求证:数列{log3bn}是等比数列;
(2)设Sn是数列{an}的前n项和,当n≥2时,Sn与(n+
4
3
)a
是否有确定的大小关系?若有,请加以证明,若没有,请说明理由.

查看答案和解析>>

已知数列{xn}满足:x1=1且xn+1=
xn+4
xn+1
,n∈N*

(1)计算x2,x3,x4的值;
(2)试比较xn与2的大小关系;
(3)设an=|xn-2|,Sn为数列{an}前n项和,求证:当n≥2时,Sn≤2-
2
2n

查看答案和解析>>

已知数列{an} 的首项为1,前n项和为Sn,且满足a n+1=3Sn,n∈N*.
数列{bn}满足bn=log4an
(1)求数列{an} 的通项公式;
(2)当n∈N*时,试比较b1+b2+…+bn与与(n﹣1)2的大小,并说明理由.

查看答案和解析>>

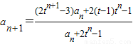
已知数列{an}满足:a1=2t-3(t∈R且t≠±1),(n∈N*).
(1)当t=2时,求证:是等差数列;
(2)若t>0,试比较an+1与an的大小;
(3)在(2)的条件下,已知函数f(x)=(x>0),是否存在正整数t,使得对一切n∈N*不等式f(an+1)<f(an)恒成立?若存在,求出t的最小值;若不存在,请说明理由.

查看答案和解析>>

已知数列{an} 的首项为1,前n项和为Sn,且满足a n+1=3Sn,n∈N*.数列{bn}满足bn=log4an
(1)求数列{an} 的通项公式;
(2)当n∈N*时,试比较b1+b2+…+bn与与(n-1)2的大小,并说明理由.

查看答案和解析>>


同步练习册答案