22.曲线C:(为参数)的普通方程为 A.(x-1)2+(y+1)2=1 B.(x+1)2+(y+1)2=1 C.(x+1)2+(y-1)2=1 D.(x-1)2+(y-1)2=1 查看更多

 

题目列表(包括答案和解析)

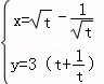
已知曲线C的参数方程为(t为参数,t>0),则曲线C的普通方程为  

查看答案和解析>>

曲线C的直角坐标方程为x2+y2-2x=0,以原点为极点,x轴的正半轴为极轴建立极坐标系,则曲线C的极坐标方程为(  )

查看答案和解析>>

设曲线C的参数方程为
x=t
y=t2
(t为参数),若以直角坐标系的原点为极点,x轴的正半轴为极轴建立极坐标系,则曲线C的极坐标方程为(  )
A、ρcos2α-sinα=0
B、ρcosα-sinα=0
C、ρcosα-sin2α=0
D、cos2α-ρsinα=0

查看答案和解析>>

已知曲线C:f(x)=x3+1,则与直线y=-
1
3
x-4
垂直的曲线C的切线方程为(  )

查看答案和解析>>

(2011•通州区一模)在直角坐标系下,曲线C的参数方程为:
x=1+cosα
y=sinα
(α为参数)
;在以坐标原点为极点,x轴正半轴为极轴的极坐标系下,曲线C的极坐标方程为(  )

查看答案和解析>>


同步练习册答案