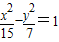
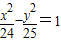
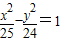
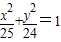
设椭圆C1的离心率为.焦点在x轴上且长轴长为26.若曲线C2上的点 到椭圆C1的两个焦点的距离的差的绝对值等于8.则曲线C2的标准方程为( ) (A) (B) (C) (D) 查看更多

 

题目列表(包括答案和解析)

设椭圆C1的离心率为,焦点在x轴上且长轴长为26.若曲线C2上的点到椭圆C1的两个焦点的距离的差的绝对值等于8,则曲线C2的标准方程为

(A)                                         (B)

(C)                                            (D)

查看答案和解析>>

设椭圆C1的离心率为,焦点在x轴上且长轴长为26,若曲线C2上的点到椭圆C1的两个焦点的距离的差的绝对值等于8,则曲线C2的标准方程为      _____________

 

查看答案和解析>>

设椭圆C1的离心率为,焦点在x轴上且长轴长为26,若曲线C2上的点到椭圆C1的两个焦点的距离的差的绝对值等于8,则曲线C2的标准方程为      _____________

 

查看答案和解析>>

设椭圆C1的离心率为,焦点在x轴上且长轴长为26,若曲线C2上的点到椭圆C1的两个焦点的距离的差的绝对值等于8,则曲线C2的标准方程为(    )

A.=1                                 B.=1

C.=1                                 D.=1

查看答案和解析>>

设椭圆C1的离心率为,焦点在x轴上且长轴长为30.若曲线C2上的点到椭圆C1的两个焦点的距离的差的绝对值等于10,则曲线C2的标准方程为( )
A.
B.
C.
D.

查看答案和解析>>


同步练习册答案