设函数的定义域为A.若命题有且只有一个为真命题.求实数a的取值范围. 解: 若 若 若无解, 综上. 查看更多

 

题目列表(包括答案和解析)

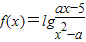
设函数数学公式的定义域为A,若命题p:3∈A与命题q:1∉A有且仅有一个为真命题,求实数a的取值范围.

查看答案和解析>>

设函数的定义域为A,若命题p:3∈A与q:5∈A有且只有一个为真命题,求实数a的取值范围.

查看答案和解析>>

设函数的定义域为A,若命题p:3∈A与q:5∈A有且只有一个为真命题,求实数a的取值范围.

查看答案和解析>>

设函数的定义域为D,若存在非零实数使得对于任意,有,且,则称为M上的高调函数. 

现给出下列命题:

① 函数为R上的1高调函数;

② 函数为R上的高调函数;

③ 如果定义域为的函数高调函数,那么实数 的取值范围是

④ 函数上的2高调函数。

其中真命题的个数为

A.0                B.1                C.2                D.3

 

查看答案和解析>>

设函数的定义域为D,若存在非零实数使得对于任意,有,且,则称为M上的高调函数. 
现给出下列命题:
① 函数为R上的1高调函数;
② 函数为R上的高调函数;
③ 如果定义域为的函数高调函数,那么实数 的取值范围是
④ 函数上的2高调函数。
其中真命题的个数为

A.0B.1 C.2D.3

查看答案和解析>>


同步练习册答案