14.若命题“. 是真命题.K^S* 则实数的取值范围是 . 查看更多

 

题目列表(包括答案和解析)

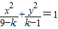
已知命题p:“方程
x2
9-k
+
y2
k-1
=1
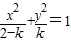
表示焦点在x轴上的椭圆”,命题q:“方程
x2
2-k
+
y2
k
=1
表示双曲线”.
(1)若p是真命题,求实数k的取值范围;
(2)若q是真命题,求实数k的取值范围;
(3)若“p∨q”是真命题,求实数k的取值范围.

查看答案和解析>>

已知命题p:“方程表示焦点在x轴上的椭圆”,命题q:“方程表示双曲线”.
(1)若p是真命题,求实数k的取值范围;
(2)若q是真命题,求实数k的取值范围;
(3)若“p∨q”是真命题,求实数k的取值范围.

查看答案和解析>>

已知命题p:“方程数学公式表示焦点在x轴上的椭圆”,命题q:“方程数学公式表示双曲线”.
(1)若p是真命题,求实数k的取值范围;
(2)若q是真命题,求实数k的取值范围;
(3)若“p∨q”是真命题,求实数k的取值范围.

查看答案和解析>>

已知命题p:“方程表示焦点在x轴上的椭圆”,命题q:“方程表示双曲线”.
(1)若p是真命题,求实数k的取值范围;
(2)若q是真命题,求实数k的取值范围;
(3)若“p∨q”是真命题,求实数k的取值范围.

查看答案和解析>>

已知命题p:“方程
x2
9-k
+
y2
k-1
=1
表示焦点在x轴上的椭圆”,命题q:“方程
x2
2-k
+
y2
k
=1
表示双曲线”.
(1)若p是真命题,求实数k的取值范围;
(2)若q是真命题,求实数k的取值范围;
(3)若“p∨q”是真命题,求实数k的取值范围.

查看答案和解析>>


同步练习册答案