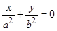
15.在椭圆中.有如下结论:椭圆上斜率为1的弦的中点在直线上.类比上述结论:双曲线上斜率为1的弦的中点在直线 上. 查看更多

 

题目列表(包括答案和解析)

椭圆中有如下结论:椭圆上斜率为1的弦的中点在直线上,类比上述结论双曲线上斜率为1的弦的中点在直线

 

查看答案和解析>>

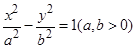
椭圆中有如下结论:椭圆上斜率为1的弦的中点在直线上,类比上述结论得到正确的结论为:双曲线上斜率为1的弦的中点在直线               上.

 

查看答案和解析>>

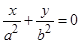
椭圆中有如下结论:椭圆上斜率为1的弦的中点在直线上,类比上述结论得到正确的结论为:双曲线上斜率为1的弦的中点在直线               上.

 

查看答案和解析>>

椭圆中有如下结论:椭圆上斜率为1的弦的中点在直线上,类比上述结论:双曲线上斜率为1的弦的中点在直线              上

查看答案和解析>>

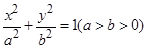
椭圆中有如下结论:椭圆上斜率为1的弦的中点在直线上,类比上述结论得到正确的结论为:双曲线上斜率为1的弦的中点在直线              上.

查看答案和解析>>


同步练习册答案