已知函数.. (1)如果函数在上是单调增函数.求的取值范围, (2)是否存在实数.使得方程在区间内有且只有两个不相等的实数根?若存在.请求出的取值范围,若不存在.请说明理由. (Ⅰ)解:当时.在上是单调增函数.符合题意.---1分 当时.的对称轴方程为. 由于在上是单调增函数. 所以.解得或. 所以. --------2分 当时.不符合题意. 综上.的取值范围是. --------3分 (Ⅱ)解:把方程整理为. 即为方程. --------4分 设 . 原方程在区间()内有且只有两个不相等的实数根, 即为函数在区间()内有且只有两个零点. --------5分 -------6分 令.因为.解得或(舍) -------7分 当时, , 是减函数, 当时, .是增函数. -------8分 在()内有且只有两个不相等的零点, 只需 -------11分 -------12分 查看更多

 

题目列表(包括答案和解析)

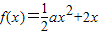
已知函数,g(x)=lnx.
(Ⅰ)如果函数y=f(x)在[1,+∞)上是单调增函数,求a的取值范围;
(Ⅱ)是否存在实数a>0,使得方程在区间内有且只有两个不相等的实数根?若存在,请求出a的取值范围;若不存在,请说明理由.

查看答案和解析>>

已知函数,g(x)=lnx.
(Ⅰ)如果函数y=f(x)在[1,+∞)上是单调增函数,求a的取值范围;
(Ⅱ)是否存在实数a>0,使得方程在区间内有且只有两个不相等的实数根?若存在,请求出a的取值范围;若不存在,请说明理由.

查看答案和解析>>

已知函数,g(x)=lnx.
(Ⅰ)如果函数y=f(x)在[1,+∞)上是单调增函数,求a的取值范围;
(Ⅱ)是否存在实数a>0,使得方程在区间内有且只有两个不相等的实数根?若存在,请求出a的取值范围;若不存在,请说明理由.

查看答案和解析>>

已知函数,g(x)=lnx.
(Ⅰ)如果函数y=f(x)在[1,+∞)上是单调增函数,求a的取值范围;
(Ⅱ)是否存在实数a>0,使得方程在区间内有且只有两个不相等的实数根?若存在,请求出a的取值范围;若不存在,请说明理由.

查看答案和解析>>

已知函数,g(x)=lnx.
(Ⅰ)如果函数y=f(x)在[1,+∞)上是单调增函数,求a的取值范围;
(Ⅱ)是否存在实数a>0,使得方程在区间内有且只有两个不相等的实数根?若存在,请求出a的取值范围;若不存在,请说明理由.

查看答案和解析>>


同步练习册答案