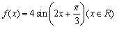
关于函数.有下列命题: ①;②是以为最小正周期的周期函数; ③图象关于点对称;④图象关于直线对称. 其中正确命题的序号是 . 查看更多

 

题目列表(包括答案和解析)

关于函数,有下列命题:   

;             ②是以为最小正周期的周期函数;

图象关于点对称;  ④图象关于直线对称.

其中正确命题的序号是__________________.

查看答案和解析>>

关于函数,有下列命题:①f(x)的最大值为;②f(x)是以π为最小正周期的周期函数;③f(x)在区间()上单调递减;④将函数y=cos2x的图象向左平移个单位后,将与f(x)的图象重合,其中正确命题的序号是   

查看答案和解析>>

关于函数,有下列命题:①f(x)的最大值为;②f(x)是以π为最小正周期的周期函数;③f(x)在区间()上单调递减;④将函数y=cos2x的图象向左平移个单位后,将与f(x)的图象重合,其中正确命题的序号是   

查看答案和解析>>

关于函数,有下列命题:

 

的表达式可以变换成

 

是以为最小正周期的周期函数;

的图象关于点对称;    ④的图象关于直线对称.

 

其中正确命题的序号是  ­­­­

 

查看答案和解析>>

关于函数,有下列命题:
的表达式可以变换成
是以为最小正周期的周期函数;
的图象关于点对称;
的图象关于直线对称,
其中正确命题的序号是(    )。

查看答案和解析>>


同步练习册答案