已知函数=.若=4a.则实数a= (C) (A) (B) 9 查看更多

 

题目列表(包括答案和解析)

已知函数=,若=4a,则实数a=         (  )

(A)        (B)        (C) 2        (D)  9                 

查看答案和解析>>

已知函数,若f[f(0)]=4a,则实数a的值为( )
A.
B.
C.2
D.9

查看答案和解析>>

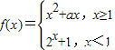
已知函数数学公式,若f[f(0)]=4a,则实数a的值为


  1. A.
    数学公式
  2. B.
    数学公式
  3. C.
    2
  4. D.
    9

查看答案和解析>>

已知函数,若f(f(0))=4a,则实数a等于
[     ]
A.
B.
C.2
D.9

查看答案和解析>>

已知函数,若f[f(0)]=4a,则实数a等于

[  ]
A.

B.

2

C.

D.

9

查看答案和解析>>


同步练习册答案