有时可用函数: 描述学习某学科知识的掌握程度.其中表示某学科知识的学习次数().表示对该学科知识的掌握程度.正实数a与学科知识有关. (1)证明:当x 7时.掌握程度的增长量f(x+1)- f(x)总是下降, (2)根据经验.学科甲.乙.丙对应的a的取值区间分别为(115.121],(121,127], (127,133].当学习某学科知识6次时.掌握程度是85%.请确定相应的学科.( ≈20.50). 查看更多

 

题目列表(包括答案和解析)

有时可用函数

 

描述学习某学科知识的掌握程度.其中表示某学科知识的学习次数(),表示对该学科知识的掌握程度,正实数a与学科知识有关.

(1)证明:当x 7时,掌握程度的增长量f(x+1)- f(x)总是下降;

(2)根据经验,学科甲、乙、丙对应的a的取值区间分别为(115,121],(121,127],

(127,133].当学习某学科知识6次时,掌握程度是85%,请确定相应的学科.

查看答案和解析>>

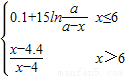
有时可用函数f(x)=
0.1+15ln
a
a-x
x≤6
x-4.4
x-4
x>6
,描述学习某学科知识的掌握程度.其中x表示某学科知识的学习次数(x∈N*),f(x)表示对该学科知识的掌握程度,正实数a与学科知识有关.
(1)证明:当x≥7时,掌握程度的增长量f(x+1)-f(x)总是下降;
(2)根据经验,学科甲、乙、丙对应的a的取值区间分别为(115,121],(121,127],(127,133].当学习某学科知识6次时,掌握程度是85%,请确定相应的学科.

查看答案和解析>>

有时可用函数描述学习某学科知识的掌握程度,其中x表示某学科知识的学习次数(x∈N*),f(x)表示对该学科知识的掌握程度,正实数a与学科知识有关。
(1)证明:当x≥7时,掌握程度的增长量f(x+1)-f(x)总是下降;
(2)根据经验,学科甲、乙、丙对应的a的取值区间分别为(115,121],(121,127],(127,133]当学习某学科知识6次时,掌握程度是85%,请确定相应的学科。

查看答案和解析>>

有时可用函数描述学习某学科知识的掌握程度,其中x表示某学科知识的学习次数(x∈N*),f(x)表示对该学科知识的掌握程度,正实数a与学科知识有关。
(1) 证明:当x≥7时,掌握程度的增加量f(x+1)-f(x)总是下降;
(2) 根据经验,学科甲、乙、丙对应的a的取值区间分别为(115,121],(121,127],(121,133]。当学习某学科知识6次时,掌握程度是85%,请确定相应的学科。(已知数据

查看答案和解析>>

有时可用函数f(x)=,描述学习某学科知识的掌握程度.其中x表示某学科知识的学习次数(x∈N*),f(x)表示对该学科知识的掌握程度,正实数a与学科知识有关.
(1)证明:当x≥7时,掌握程度的增长量f(x+1)-f(x)总是下降;
(2)根据经验,学科甲、乙、丙对应的a的取值区间分别为(115,121],(121,127],(127,133].当学习某学科知识6次时,掌握程度是85%,请确定相应的学科.

查看答案和解析>>


同步练习册答案