以为渐近线.一个焦点是F(0.2)的双曲线方程为 ( ) (A) (B) (C) (D)翰林汇 查看更多

 

题目列表(包括答案和解析)

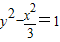
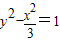
为渐近线,一个焦点是F(0,2)的双曲线方程是( )
A.
B.
C.
D.

查看答案和解析>>

为渐近线,一个焦点是F(0,2)的双曲线方程是( )
A.
B.
C.
D.

查看答案和解析>>

数学公式为渐近线,一个焦点是F(0,2)的双曲线方程是


  1. A.
    数学公式
  2. B.
    数学公式
  3. C.
    数学公式
  4. D.
    数学公式

查看答案和解析>>

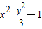
以y=±
3
x为渐近线,一个焦点是F(2,0)的双曲线方程为
x2-
y2
3
=1
x2-
y2
3
=1
,离心率为
2
2

查看答案和解析>>

3
x±y=0
为渐近线,一个焦点是F(0,2)的双曲线方程是(  )

查看答案和解析>>


同步练习册答案