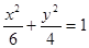
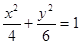
已知椭圆的对称轴是坐标轴.离心率e=.长轴长为6.那么椭圆的方程是( ). (A) +=1 (B)+=1或+=1 (C) +=1 (D)+=1或+=1 查看更多

 

题目列表(包括答案和解析)

已知椭圆的对称轴是坐标轴,离心率为,长轴长为,则椭圆方程为(    )

A.                B.

C.                   D.

 

查看答案和解析>>

已知椭圆的对称轴是坐标轴,离心率为,长轴长为,则椭圆方程为(   )

A. B.
C. D.

查看答案和解析>>

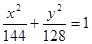
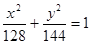
已知椭圆的对称轴是坐标轴,离心率为,长轴长为12,则椭圆方程为(    )

A.=1                                        B.=1

C.=1或=1                   D.=1

查看答案和解析>>

已知椭圆的对称轴是坐标轴,离心率为,长轴长为,则椭圆方程为(   )
A.B.
C.D.

查看答案和解析>>

已知椭圆的对称轴是坐标轴,离心率为,短轴在x轴上,且两准线的距离为2,则椭圆方程为_______.

查看答案和解析>>


同步练习册答案