函数的定义域是R.则实数a的取值范围是 查看更多

 

题目列表(包括答案和解析)

若函数的定义域是R,则实数a的取值范围是   

查看答案和解析>>

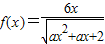
若函数数学公式的定义域是R,则实数a的取值范围是________.

查看答案和解析>>

已知函数的定义域是R,则实数a的取值范围是(   )

A.B.C.D.

查看答案和解析>>

已知函数的定义域是R,则实数a的取值范围是(    )

A.     B.    C.     D.

 

 

查看答案和解析>>

已知函数的定义域是R,则实数a的取值范围是(    )

A.     B.    C.     D.

 

 

查看答案和解析>>


同步练习册答案