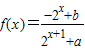
10.(江西师大附中2009届高三数学上学期期中) 已知定义域为R的函数是奇函数. (1)求a,b的值, (2)若对任意的.不等式恒成立.求k的取值范围. 解 (1) 因为是R上的奇函数.所以 从而有 又由.解得 知 由上式易知在R上为减函数.又因是奇函数.从而不等式 等价于 因是R上的减函数.由上式推得 即对一切从而 解法二:由(1)知 又由题设条件得 即 整理得.因底数2>1.故 上式对一切均成立.从而判别式 查看更多

 

题目列表(包括答案和解析)

(本小题满分13分)已知定义域为R的函数是奇函数.
(I)求a的值,并指出函数的单调性(不必说明单调性理由);
(II)若对任意的,不等式恒成立,求的取值范围.

查看答案和解析>>

(本小题满分13分)
已知定义域为R的函数是奇函数.
(1)求a的值;(2)判断的单调性(不需要写出理由);
(3)若对任意的,不等式恒成立,求的取值范围.

查看答案和解析>>

已知定义域为R的函数是奇函数.
(Ⅰ)求a的值;
(Ⅱ)判断的单调性并证明;
(Ⅲ)若对任意的,不等式恒成立,求的取值范围.

查看答案和解析>>

已知定义域为R的函数是奇函数。

⑴求的值;并判定函数单调性(不必证明)。

⑵若对于任意的,不等式恒成立,求的取值范围。

 

 

查看答案和解析>>

已知定义域为R的函数是奇函数.
(Ⅰ)求a,b的值;
(Ⅱ)解不等式f(5-2x)+f(3x+1)<0.

查看答案和解析>>


同步练习册答案