3.如果方程表示焦点在y轴上的椭圆.则实数k的取值范围是 ( ) A. C.(0.+) D.(1.+) 查看更多

 

题目列表(包括答案和解析)

如果方程表示焦点在y轴上的椭圆,则实数k的取值范围是(   )

A.(0,+∞)        B.(0,2)          C.(1,+∞)        D.(0,1)

 

查看答案和解析>>

如果方程表示焦点在y轴上的椭圆,则实数k的取值范围是(   )

A.(0,+∞) B.(0,2) C.(1,+∞) D.(0,1)

查看答案和解析>>

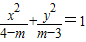
如果方程表示焦点在y轴上的椭圆,则m的取值范围是( )
A.3<m<4
B.
C.
D.

查看答案和解析>>

如果方程表示焦点在y轴上的椭圆,则m的取值范围是( )
A.3<m<4
B.
C.
D.

查看答案和解析>>

如果方程表示焦点在y轴上的椭圆,则m的取值范围是( )
A.3<m<4
B.
C.
D.

查看答案和解析>>


同步练习册答案