共渐进线的双曲线标准方程为为参数.≠0), 查看更多

 

题目列表(包括答案和解析)

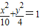
与椭圆
x2
10
+
y2
4
=1
共焦点且过点(5,-2)的双曲线标准方程是(  )

查看答案和解析>>

与椭圆共焦点且过点(5,-2)的双曲线标准方程是

A.      B.       C.      D.

 

查看答案和解析>>

与椭圆共焦点且过点(5,-2)的双曲线标准方程是

A. B. C. D. 

查看答案和解析>>

与椭圆
x2
10
+
y2
4
=1
共焦点且过点(5,-2)的双曲线标准方程是(  )
A.
x2
5
-y2=1
B.x 2-
y2
5
=1
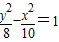
C.
x2
10
-
y2
8
=1
D.
y2
8
-
x2
10
=1

查看答案和解析>>

与椭圆共焦点且过点(5,-2)的双曲线标准方程是( )
A.
B.x
C.
D.

查看答案和解析>>


同步练习册答案