(11) 椭圆的两焦点为F1.F2.一直线过F1交椭圆于P.Q.则△PQF2的周长为 . (12) 若直线l过抛物线的焦点.并且与y轴垂直.若l被抛物线截得的线段长为4.则a= (13) 过点且被点M平分的双曲线的弦所在直线方程为 . (14) 已知F1.F2是椭圆+y2=1的两个焦点, P是该椭圆上的一个动点, 则|PF1|·|PF2|的最大值是 . 查看更多

 

题目列表(包括答案和解析)

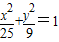
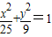
椭圆的两焦点为F1,F2,一直线过F1交椭圆于P、Q,则△PQF2的周长为 ___________.

 

查看答案和解析>>

椭圆的两焦点为F1,F2,一直线过F1交椭圆于P、Q,则△PQF2的周长为   

查看答案和解析>>

椭圆的两焦点为F1,F2,一直线过F1交椭圆于P、Q,则△PQF2的周长为   

查看答案和解析>>

椭圆的两焦点为F1,F2,一直线过F1交椭圆于P、Q,则△PQF2的周长为   

查看答案和解析>>

椭圆的两焦点为F1,F2,一直线过F1交椭圆于P、Q,则△PQF2的周长为   

查看答案和解析>>


同步练习册答案