已知数列中..那么的值为 765 . 查看更多

 

题目列表(包括答案和解析)

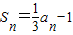
已知数列{an}满足,那么的值为   

查看答案和解析>>

在下图的表格中,如果每格填上一个数后,每一横行成等差数列,每一纵列成等比数列,那么的值为(    ) .      

A.                    B.        C.                            D.

查看答案和解析>>

已知数列中,,前项的和为,对任意的总成等差数列.
(1)求的值;
(2)求通项
(3)证明:.

查看答案和解析>>

已知数列{an}满足,那么的值是(  )

A.20112           B.2012×2011        C. 2009×2010     D.2010×2011

 

查看答案和解析>>

已知数列中,,前项的和为,对任意的总成等差数列.

(1)求的值;

(2)求通项

(3)证明:.

 

查看答案和解析>>


同步练习册答案