已知-9.a1,a2,a3,-1五个实数成等比数列.-9.b1,b2.-1四个实数成等差数列.则a2(b1-b2)等于( ) A.- B.8 C.-8 D.±8 [答案]B [解析]由已知得a2=-3,b1=-,b2=-, ∴a2(b1-b2)=-3×(-)=8. 查看更多

 

题目列表(包括答案和解析)

已知-9,a1,a2,a3,-1五个实数成等比数列,-9,b1,b2,-1四个实数成等差数列,则a2(b1-b2)等于(    )

A.-                    B.8                  C.-8                     D.±8

查看答案和解析>>

已知-9,a1,a2,a3,-1五个实数成等差数列,-9,b1,b2,b3,-1五个实数成等比数列,则等于( )
A.±
B.±
C.-
D.

查看答案和解析>>

已知-9,a1,a2,a3,-1五个实数成等差数列,-9,b1,b2,b3,-1五个实数成等比数列,则等于( )
A.±
B.±
C.-
D.

查看答案和解析>>

已知-9,a1,a2,a3,-1五个实数成等差数列,-9,b1,b2,b3,-1五个实数成等比数列,则等于( )
A.±
B.±
C.-
D.

查看答案和解析>>

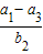
已知-9,a1,a2,a3,-1五个实数成等差数列,-9,b1,b2,b3,-1五个实数成等比数列,则数学公式等于


  1. A.
    ±数学公式
  2. B.
    ±数学公式
  3. C.
    -数学公式
  4. D.
    数学公式

查看答案和解析>>


同步练习册答案