1 已知函数..则的奇偶性依次为( ) A 偶函数.奇函数 B 奇函数.偶函数 C 偶函数.偶函数 D 奇函数.奇函数 2 若是偶函数.其定义域为.且在上是减函数.则的大小关系是( ) A > B < C D 3 已知在区间上是增函数.则的范围是( ) A B C D 4 设是奇函数.且在内是增函数.又. 则的解集是( ) A B C D 5 已知其中为常数.若.则的值等于( ) A B C D 6 函数,则下列坐标表示的点一定在函数f(x)图象上的是( ) A B C D 查看更多

 

题目列表(包括答案和解析)

已知函数f(x)=|x|(|x-1|-|x+1|),数学公式,则f(x),h(x)的奇偶性依次为


  1. A.
    偶函数,奇函数
  2. B.
    奇函数,偶函数
  3. C.
    偶函数,偶函数
  4. D.
    奇函数,奇函数

查看答案和解析>>

已知函数f(x)=|x|(|x-1|-|x+1|),,则f(x),h(x)的奇偶性依次为( )
A.偶函数,奇函数
B.奇函数,偶函数
C.偶函数,偶函数
D.奇函数,奇函数

查看答案和解析>>

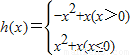
已知函数f(x)=|x|(|x-1|-|x+1|),h(x)=
-x2+x(x>0)
x2+x(x≤0)
,则f(x),h(x)的奇偶性依次为(  )

查看答案和解析>>

已知函数f(x)=|x|(|x-1|-|x+1|),h(x)=
-x2+x(x>0)
x2+x(x≤0)
,则f(x),h(x)的奇偶性依次为(  )
A.偶函数,奇函数B.奇函数,偶函数
C.偶函数,偶函数D.奇函数,奇函数

查看答案和解析>>


同步练习册答案