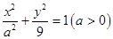
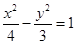
已知椭圆与双曲线有相同的焦点, 则的值为 A. B. C. D. 查看更多

 

题目列表(包括答案和解析)

已知椭圆与双曲线有相同的焦点, 则m的值为(     )

   A.       B.      C.         D. 

 

查看答案和解析>>

已知椭圆与双曲线有相同的焦点, 则的值为(  )

A.      B.          C.            D. 

 

查看答案和解析>>

已知椭圆与双曲线有相同的焦点, 则的值为(  )
A.B.C.D.

查看答案和解析>>

已知椭圆与双曲线有相同的焦点, 则m的值为(    )
A.B.C.D.

查看答案和解析>>

已知椭圆与双曲线有相同的焦点, 则的值为(  )

A.B.C.D.

查看答案和解析>>


同步练习册答案