5. 右图的程序框图.输出的结果是( ) A. y= B. y= C. y= D. y= 查看更多

 

题目列表(包括答案和解析)

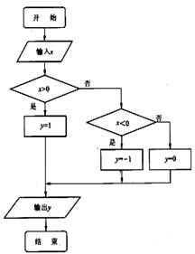
右图的程序框图,输出的结果是(    )

    A. y=       B. y= 

    C. y=       D. y=

查看答案和解析>>

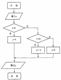
右图的程序框图,输出的结果是(    )

    A. y=       B. y= 

    C. y=       D. y=

查看答案和解析>>

执行右图的程序框图,输出的结果是18,则①处应填入的条件是(    )

A.K>2     B.K>3     C.K>4   D.K>5

 

查看答案和解析>>

执行右图的程序框图,输出的结果是18,则①处应填入的条件是(   )
A.K>2B.K>3C.K>4D.K>5

查看答案和解析>>

执行右图的程序框图,输出的结果是18,则①处应填入的条件是


  1. A.
    K>2
  2. B.
    K>3
  3. C.
    K>4
  4. D.
    K>5

查看答案和解析>>


同步练习册答案