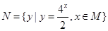
已知集合..则( ) . . . . 查看更多

 

题目列表(包括答案和解析)

已知集合,则  ▲  .(填“”、 “”、“空集”)

查看答案和解析>>

已知集合,则  ▲  .(填“”、 “”、“空集”)

查看答案和解析>>

已知集合,则 (     )

A、{x|0<x<}  B、{x|<x<1}

C、{x|0<x<1}   D、{x|1<x<2} 

 

查看答案和解析>>

已知集合,则 (     )

A、{x|0<x<}  B、{x|<x<1}

C、{x|0<x<1}   D、{x|1<x<2}

 

查看答案和解析>>

已知集合,则为 (   ).

A、         B、           C、         D、  

 

查看答案和解析>>


同步练习册答案