数列满足..其中. . ①当时. , ②若存在正整数.当时总有.则的取值范围是 . 查看更多

 

题目列表(包括答案和解析)

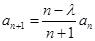
数列满足,其中

①当时,_____;

②若存在正整数,当时总有,则的取值范围是_____.

 

查看答案和解析>>

数列满足,其中
①当时,_____;
②若存在正整数,当时总有,则的取值范围是_____.

查看答案和解析>>

数列满足,其中

①当时,_____;

②若存在正整数,当时总有,则的取值范围是_____.

查看答案和解析>>

数列满足,其中

①当时,_____;

②若存在正整数,当时总有,则的取值范围是_____.

查看答案和解析>>

数列满足,其中
①当时,_____;
②若存在正整数,当时总有,则的取值范围是_____.

查看答案和解析>>


同步练习册答案