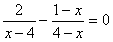
方程 = 0的解是( ) A.2或-3 B.-2 C.3 D.2或3 查看更多

 

题目列表(包括答案和解析)

方程的解是
[     ]
A、   
B、   
C、    
D、

查看答案和解析>>

方程的解是(   )

A、x=0.    B、x= 2    C、x=0或x= 2      D、x=

查看答案和解析>>

方程的解是(   )

A、x=0.    B、x= 2    C、x=0或x= 2      D、x=

查看答案和解析>>

4、方程(x-3)(x+1)=x-3的解是(  )

查看答案和解析>>

5、方程x2=3x的根是(  )

查看答案和解析>>


同步练习册答案