18.若的值有 种可能. 查看更多

 

题目列表(包括答案和解析)

我市某镇的一种特产由于运输原因,长期只能在当地销售,当地政府对该特产的销售投资收益为:每投入x万元,可获得利润(万元),当地政府拟在“十二·五”规划中加快开发该特产的销售,其规划方案为:在规划前后对该项目每年最多可投入100万元的销售投资,在实施规划5年的前两年中,每年都从100万元中拨出50万元用于修建一条公路,两年修成,通车前该特产只能在当地销售;公路通车后的3年中,该特产既在本地销售,也在外地销售,在外地销售的投资收益为:每投入x万元,可获利润(万元)。
(1)若不进行开发,求5年所获利润的最大值是多少?
(2)若按规划实施,求5年所获利润(扣除修路后)的最大值是多少?
(3)根据(1)、(2),该方案是否具有实施价值?

查看答案和解析>>

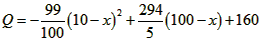
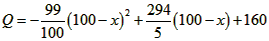
我市某镇的一种特产由于运输原因,长期只能在当地销售。当地政府对该特产的销售投资收益为:每投入x万元,可获得利润P=-(x-60)2+41(万元),当地政府拟在“十二·五”规划中加快开发该特产的销售,其规划方案为:在规划前后对该项目每年最多可投入100万元的销售投资,在实施规划5年的前两年中,每年都从100万元中拨出50万元用于修建一条公路,两年修成,通车前该特产只能在当地销售;公路通车后的3年中,该特产既在本地销售,也在外地销售,在外地销售的投资收益为:每投入x万元,可获利润Q=-(100-x)2+(100-x)+160(万元)。
(1)若不进行开发,求5年所获利润的最大值是多少?
(2)若按规划实施,求5年所获利润(扣除修路后)的最大值是多少?
(3)根据(1)、(2),该方案是否具有实施价值?

查看答案和解析>>

我市某镇的一种特产由于运输原因,长期只能在当地销售.当地政府对该特产的销售投资收益为:每投入x万元,可获得利润(万元),当地政府拟在“十二·五”规划中加快开发该特产的销售,其规划方案为:在规划前后对该项目每年最多可投入100万元的销售投资,在实施规划5年的前两年中,每年都从100万元中拨出50万元用于修建一条公路,两年修成,通车前该特产只能在当地销售;公路通车后的3年中,该特产既在本地销售,也在外地销售,在外地销售的投资收益为:每投入x万元,可获利润(万元)。
(1)若不进行开发,求5年所获利润的最大值是多少?
(2)若按规划实施,求5年所获利润(扣除修路后)的最大值是多少?
(3)根据(1)、(2),该方案是否具有实施价值?

查看答案和解析>>

某商业公司为指导某种应季商品的生产和销售,对三月份至七月份该商品的售价和成本进行了调研,结果如下:每件商品的售价M(元)与时间t(月)的关系可用一条线段上的点来表示(如图1),每件商品的成本Q(元)与时间t(月)的关系可用一条抛物线的一部分上的点来表示(如图2)。 (说明:图1,图2中的每个实心黑点所对应的纵坐标分别指相应月份的售价和成本.) 请你根据图象提供的信息回答:
(1)每件商品在3月份出售时的利润(利润=售价﹣成本)是多少元?
(2)求图2中表示的每件商品的成本Q(元)与时间t(月)之间的函数关系式(不要求写自变量的取值范围);
(3)你能求出三月份至七月份每件商品的利润W(元)与时间t(月)之间的函数关系式吗(请写出计算过程,不要求写自变量的取值范围)?若该公司共有此种商品30000件,准备在一个月内全部售完,请你计算一下至少可获利多少元?

查看答案和解析>>

重庆西永微电园入驻企业----方正集团开发了一种新型电子产品,是未来五年IT行业倍受青睐的产品.在五年销售期限内,方正集团每年对该产品最多可投入100万元销售投资,该集团营销部门根据市场分析,对该产品的销售投资收益拟定了两种销售方案:

方案一:只在国内销售,每投入万元,每年可获得利润P与x关系如下表所示:

x (万元)

50

60

70

80

P(万元)

40

41

40

37

方案二:五年销售期限内,每年均投入100万元销售投资。前两年中,每年拨出50万元用于筹备国际营销平台,两年筹备完成, 完成前该产品只能在国内销售;国际营销平台完成后的3年中,该产品既在国内销售,也在国外销售,在国内销售的投资收益仍满足方案一,而在国外销售的投资收益为:每年投入万元,可获年利润(万元).

1.请观察题中的表格,用所学过的一次函数、反比例函数或二次函数的有关知识,直接写出P与x之间的函数关系式,并求出选择方案一该集团每年所获利润的最大值.

2.若选择方案二,设后3年中每年用于国内销售的投入为n(万元),则n为何值时可使这5年所获总利润(扣除筹备国际营销平台资金后)最大?并求出该最大值.

3.方正集团的国际营销平台也可销售该集团其它产品,方正集团决定将另一种产品也销往国外.已知,该产品在国内销售情况为:售价y(元/件)与销量a(件)的函数关系式为y=a+120,成本为20元/件;国外销售情况为:价格为120元/件,国外销售成本为40元/件.该集团要将8000件产品全部销售完并获得312000元的利润,该集团该怎样安排国内的销售量?(精确到个位) 

(参考数据:                   

 

查看答案和解析>>


同步练习册答案