根据条件列出方程: ①.某数的2倍与3的差等于7 . ②.比某数大7的数是10 . ③.某数的比它的2倍小3 . ④.某数与3的差的一半是2 . 查看更多

 

题目列表(包括答案和解析)

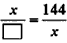
某市为改善农村饮用水条件,投资建设“改水工程”,2008年投资100万元用于“改水工程”,计划以后每年以相同的增长率投资,2010年该市计划投资“改水工程”144万元,根据题意,甲、乙两名同学分别列出的方程的一部分如下:
甲,;乙,
(1)根据甲、乙两名同学所列的方程,未知数表示的意义分别为:
甲:____________________________;
乙:______________________________;
(2)请你在方框中补全甲、乙两名同学所列的方程;
(3)求按计划2011年将投资“改水工程”多少万元?

查看答案和解析>>


同步练习册答案