方程 的一个解为( ) A. B. C. D. 查看更多

 

题目列表(包括答案和解析)

若方程的一个解为,求代数式的值.

 

查看答案和解析>>

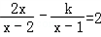
若方程数学公式的一个解为x=-2,求代数式k+k-1的值.________

查看答案和解析>>

若方程的一个解为x=﹣2,求代数式k+k﹣1的值.(    )

查看答案和解析>>

是方程的一个解,则的值为(    )

A、     B、     C、     D、

查看答案和解析>>

已知是方程的一个解,那么m为          .

 

查看答案和解析>>


同步练习册答案