22.下图是一个数值转换机的示意图.请你用x.y表示输出结果.并求输入x的值为3.y的值为-2时的输出结果. 查看更多

 

题目列表(包括答案和解析)

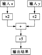
精英家教网下图是一个数值转换机的示意图,若输入的x的值是3,y的值是3,则输出的结果为
 

查看答案和解析>>

下图是一个数值转换机的示意图,写出计算过程并填写下表.精英家教网精英家教网

查看答案和解析>>

19、下图是一个数值转换机的示意图,请你用x、y表示输出结果,并求输入x 的值为3,y的值为-2时的输出结果.

查看答案和解析>>

25、下图是一个数值转换机的示意图,请在圆圈中选择一个有理数和一个无理数,按要求填写下表.

查看答案和解析>>

下图是一个数值转换机的示意图,请在圆圈4个数中选择一个有理数和一个无理数,并计算输出结果.

查看答案和解析>>


同步练习册答案