7.方程去分母正确的是( ). (A) (B) (C) (D) 查看更多

 

题目列表(包括答案和解析)

方程去分母正确的是(   ).

A.B.
C.D.

查看答案和解析>>

方程去分母正确的是(    ).

(A)      (B) 

(C)    (D)

 

查看答案和解析>>

方程去分母正确的是(   ).
A.B.
C.D.

查看答案和解析>>

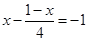
方程数学公式去分母正确的是


  1. A.
    x-1-x=-1
  2. B.
    4x-1-x=-4
  3. C.
    4x-1+x=-4
  4. D.
    4x-1+x=-1

查看答案和解析>>

方程数学公式去分母正确的是


  1. A.
    x-1=x
  2. B.
    x-1=3x
  3. C.
    x-3=3x
  4. D.
    3x-3=3x

查看答案和解析>>


同步练习册答案