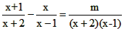
若是方程的解.求的值. 查看更多

 

题目列表(包括答案和解析)

是方程组的解,求的值。

 

查看答案和解析>>

是方程组的解,试求3m-5n的值。

查看答案和解析>>

若方程的解是正数,求a的取值范围。关于这道题,有位同学作出如下解答:    
解:去分母得:2x+a=-x+2,    
化简得
欲使方程的根为正数,必须>0,得a<2,    
所以当a<2时方程1的解是正数
上述解法是否有误?若有错误,请说明错的原因,并写出正确解答;若没有错误,请说出每一步解法的依据。

查看答案和解析>>

若方程的解是负数,求m的取值范围。

查看答案和解析>>

是关于x,y的二元一次方程3x-y+a=0的一个解,求a的值。

查看答案和解析>>


同步练习册答案