13.若是关于,y的二元一次方程. .. 查看更多

 

题目列表(包括答案和解析)

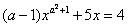
是关于x的的一元二次方程,则a=(    )。

查看答案和解析>>

 若关于的一元二次方程有两个不相等的实数根,则的取值范围是         

 

查看答案和解析>>

若关于的一元二次方程有两个不相等的实数根,则的取值范围是         

查看答案和解析>>

若关于的一元二次方程有两个不相等的实数根,则的取值范围是         

查看答案和解析>>

若关于的一元二次方程有两个不相等的实数根,则的取值范围是(      )。

A.                B.            C.          D.

 

查看答案和解析>>


同步练习册答案