(三)用适当方法解方程组 18. 19. 查看更多

 

题目列表(包括答案和解析)

用适当方法解方程组:
3(x-1)=4(y-4)
5(y-1)=3(x+5)
                            
x
2
-
y+1
3
=1
3x+2y=10

查看答案和解析>>

用适当方法解方程组:
3(x-1)=4(y-4)
5(y-1)=3(x+5)
                            
x
2
-
y+1
3
=1
3x+2y=10

查看答案和解析>>

用适当方法解方程组:
数学公式                            
数学公式

查看答案和解析>>

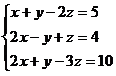
用适当方法解方程组

查看答案和解析>>

用适当方法解方程组

查看答案和解析>>


同步练习册答案