如图(1).是一个舞台.主持人报幕时站在黄金分割处会显得更加自然大方.则你认为AC:AB= 查看更多

 

题目列表(包括答案和解析)

如图,是一个边长相等的正五边形与一个正方形拼在一起的图形,并且正好拼成“福娃欢欢”.如果正方形顺时针旋转,五边形逆时针旋转,始终保持两条边邻接.那么各要转
20
20
圈,可以恢复成“福娃欢欢”的图形.

查看答案和解析>>

19、如图,是一个可以自由转动的转盘,自由转动这个转盘四次后得到4个数字,分别填在各个空格内(顺序自定),组成一个数.
(1)你认为有可能得到的最小的数是多少?
(2)利用这个转盘,可能得到的最大的四位数是多少?可能得到的最小的四位数是多少?它们出现的可能性谁大?

查看答案和解析>>

精英家教网一般认为,如果一个人的肚脐以上的高度与肚脐以下的高度符合黄金分割,则这个人好看.如图,是一个参加空姐选拔的选手的身高情况,那么她应穿多高的鞋子才能好看?(精确到1cm)
参考数据:黄金分割比为
5
-1
2
5
=2.236.

查看答案和解析>>

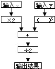
精英家教网如图,是一个数值转换机的示意图,若输入x的值为3,y的值为-2时,则输出的结果为
 

查看答案和解析>>

15、如图,是一个正方体纸盒的展开图,若在其中三个正方形A,B,C中分别填入适当的数,使得它们折成正方体后相对的面上两个数互为相反数,则填入正方形A,B,C中的三个数依次是(  )

查看答案和解析>>


同步练习册答案