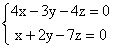
那么.x-y+z 的值等于 . 查看更多

 

题目列表(包括答案和解析)

如果,那么xy的值等于(    )。

查看答案和解析>>

已知,那么的值等于(     )。

查看答案和解析>>

如果分式的值为零,那么x应等于(    )。

查看答案和解析>>

如果|a|=2,|b|=3,那么a2b的值等于(     )。

查看答案和解析>>

如果数a的绝对值等于a,那么a一定是正数。
[     ]

查看答案和解析>>


同步练习册答案