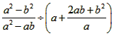
先化简:再求值:.其中. 查看更多

 

题目列表(包括答案和解析)

先化简:再求值:,其中

查看答案和解析>>

先化简:再求值:,其中a=2+

查看答案和解析>>

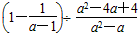
先化简,再求值:,其中

 

查看答案和解析>>

先化简,再求值:,其中

 

 

 

查看答案和解析>>

先化简.再求值:,其中

 

 

查看答案和解析>>


同步练习册答案