已知.计算的值. 查看更多

 

题目列表(包括答案和解析)

已知,计算下题:

(1)的相反数与的倒数的相反数的和;

(2)的绝对值与的绝对值的和。

 

查看答案和解析>>

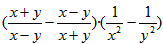
已知,计算代数式的值。

查看答案和解析>>

已知,用“”或“÷”连接M、N,有三种不同的形式:。请任取一种进行计算,并化简求值,其中

查看答案和解析>>

已知,用“”或“÷”连接M、N,有三种不同的形式:。请任取一种进行计算,并化简求值,其中

 

查看答案和解析>>

已知,用“”或“÷”连接M、N,有三种不同的形式:。请任取一种进行计算,并化简求值,其中

查看答案和解析>>


同步练习册答案