23.先化简.再选一个你认为合适的数代入求值. 查看更多

 

题目列表(包括答案和解析)

先化简(数学公式+数学公式)÷数学公式,再选一个你认为合适的数求值.

查看答案和解析>>

先化简(
x
x+1
+
1
x-1
)÷
1
x2-1
,再选一个你认为合适的数求值.

查看答案和解析>>

(2009•攀枝花二模)先化简(+)÷,再选一个你认为合适的数求值.

查看答案和解析>>

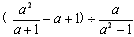
先化简,再从1,-1和中选一个你认为合适的数作为a的值代入求值。

查看答案和解析>>

先化简,再求值:

数学公式-数学公式)÷数学公式

选一个你认为合适的整数x代入求值.

查看答案和解析>>


同步练习册答案