下列根式中最简根式的个数有 ( ) A .1 B.2 C.3 D.4 查看更多

 

题目列表(包括答案和解析)

下列根式中最简根式的个数有                                          (   )

           

A .1                 B.2                 C.3                 D.4

查看答案和解析>>

下列根式中最简二次根式的个数有(  )
2
x2y
ab
2
3xy
5
5(a2-b2)
75x3y3
x2+y2
2y2
c
A、2个B、3个C、4个D、5个

查看答案和解析>>

下列根式中最简二次根式的个数有:2
x2y
ab
2
3xy
5
5(a2-b2)
75x3y3
x2+y2
2y2
c
(  )
A.2个B.3个C.4个D.5个

查看答案和解析>>

下列根式中最简二次根式的个数有:数学公式


  1. A.
    2个
  2. B.
    3个
  3. C.
    4个
  4. D.
    5个

查看答案和解析>>

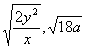
下列根式中最简二次根式的个数有
,,
[     ]
A. 2个       
B. 3个        
C. 4个       
D. 5个

查看答案和解析>>


同步练习册答案