约分:= ,= . 查看更多

 

题目列表(包括答案和解析)

约分:__________;__________。

查看答案和解析>>

约分:__________;__________。

查看答案和解析>>

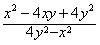
约分:
(1)
(2)

查看答案和解析>>

约分:
(1)
(2)

查看答案和解析>>

约分:
(1)
(2)

查看答案和解析>>


同步练习册答案