= .= .= .= .= .= . 根据计算结果.回答: ⑴一定等于a吗?你发现其中的规律了吗?请你用自己的语言描述出来. ⑵利用你总结的规律.计算 ①若.则 ②= 查看更多

 

题目列表(包括答案和解析)

29、计算下列各式,然后回答问题:(x+3)(x+4)=
x2+7x+12
;(x+3)(x-4)=
x2-x-12
;(x-3)(x+4)=
x2+x-12
;(x-3)(x-4)=
x2-7x+12

(1)根据以上的计算总结出规律:(x+m)(x+n)=
x2+(m+n)x+mn

(2)运用(1)中的规律,直接写出下列结果:(x+25)(x-16)=
x2+9x-400

查看答案和解析>>

计算下列各式,然后回答问题:(x+3)(x+4)=  ;(x+3)(x﹣4)=  ;(x﹣3)(x+4)=  ;(x﹣3)(x﹣4)=  
(1)根据以上的计算总结出规律:(x+m)(x+n)=  
(2)运用(1)中的规律,直接写出下列结果:(x+25)(x﹣16)=  

查看答案和解析>>

计算下列各式,然后回答问题:(x+3)(x+4)=  ;(x+3)(x﹣4)=  ;(x﹣3)(x+4)=  ;(x﹣3)(x﹣4)=  

(1)根据以上的计算总结出规律:(x+m)(x+n)=  

(2)运用(1)中的规律,直接写出下列结果:(x+25)(x﹣16)=  

 

查看答案和解析>>

计算下列各式,然后回答问题:(x+3)(x+4)=______;(x+3)(x-4)=______;(x-3)(x+4)=______;(x-3)(x-4)=______.
(1)根据以上的计算总结出规律:(x+m)(x+n)=______;
(2)运用(1)中的规律,直接写出下列结果:(x+25)(x-16)=______.

查看答案和解析>>

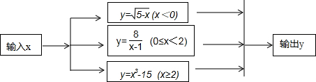
根据下面的运算程序,回答问题:

(1)若输入x=-3,请计算输出的结果y的值;
(2)若输入一个正数x时,输出y的值为12,请问输入的x值可能是多少?

查看答案和解析>>


同步练习册答案