求满足的一切整数a,b,c的值. 查看更多

 

题目列表(包括答案和解析)

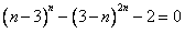
求满足的正整数n的值.

查看答案和解析>>

求满足的所有素数p和正整数m.

        

查看答案和解析>>

对非负实数x“四舍五入”到个位的值记为
即:当n为非负整数时,如果
如:<0>=<0.48>=0,<0.64>=<1.493>=1,<2>=2,<3.5>=<4.12>=4,…
试解决下列问题:
(1)填空:①=      为圆周率);
②如果的取值范围为       
(2)①当
②举例说明不恒成立;
(3)求满足的值;
(4)设n为常数,且为正整数,函数范围内取值时,函数值y为整数的个数记为的个数记为b.
求证:

查看答案和解析>>

求满足的所有素数p和正整数m.

查看答案和解析>>

对非负实数x“四舍五入”到个位的值记为

即:当n为非负整数时,如果

如:<0>=<0.48>=0,<0.64>=<1.493>=1,<2>=2,<3.5>=<4.12>=4,…

试解决下列问题:

   (1)填空:①=       为圆周率);

        ②如果的取值范围为       

   (2)①当

②举例说明不恒成立;

   (3)求满足的值;

   (4)设n为常数,且为正整数,函数范围内取值时,函数值y为整数的个数记为的个数记为b.

       求证:

 

查看答案和解析>>


同步练习册答案