9.已知.求分式的值. 查看更多

 

题目列表(包括答案和解析)

已知,求分式的值.

 

查看答案和解析>>

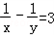
已知数学公式,求分式数学公式的值.

查看答案和解析>>

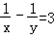
已知数学公式,求分式数学公式的值.

查看答案和解析>>

已知,求分式的值.

查看答案和解析>>

已知,求分式的值.

查看答案和解析>>


同步练习册答案