化简得 . 查看更多

 

题目列表(包括答案和解析)

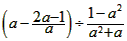
化简        。
A. 2B.—2C.D.—

查看答案和解析>>

化简得(    )。

A.    B.      C.      D.

 

查看答案和解析>>

化简得(   )。
A.B.C.D.

查看答案和解析>>

化简1得(    )。

查看答案和解析>>

化简,得(    ),再给a选择一个数代入求值,那么a不能取的值是(    )。

查看答案和解析>>


同步练习册答案