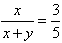
如果.那么的值为( ) A. B. C. D. 查看更多

 

题目列表(包括答案和解析)

如果数学公式=数学公式,那么数学公式的值为________.

查看答案和解析>>

如果,那么的值为
[     ]
A.
B.
C.
D.

查看答案和解析>>

如果=,那么的值为( )
A.
B.
C.
D.

查看答案和解析>>

如果=,那么的值为( )
A.
B.
C.
D.

查看答案和解析>>

如果=,那么的值为( )
A.
B.
C.
D.

查看答案和解析>>


同步练习册答案